
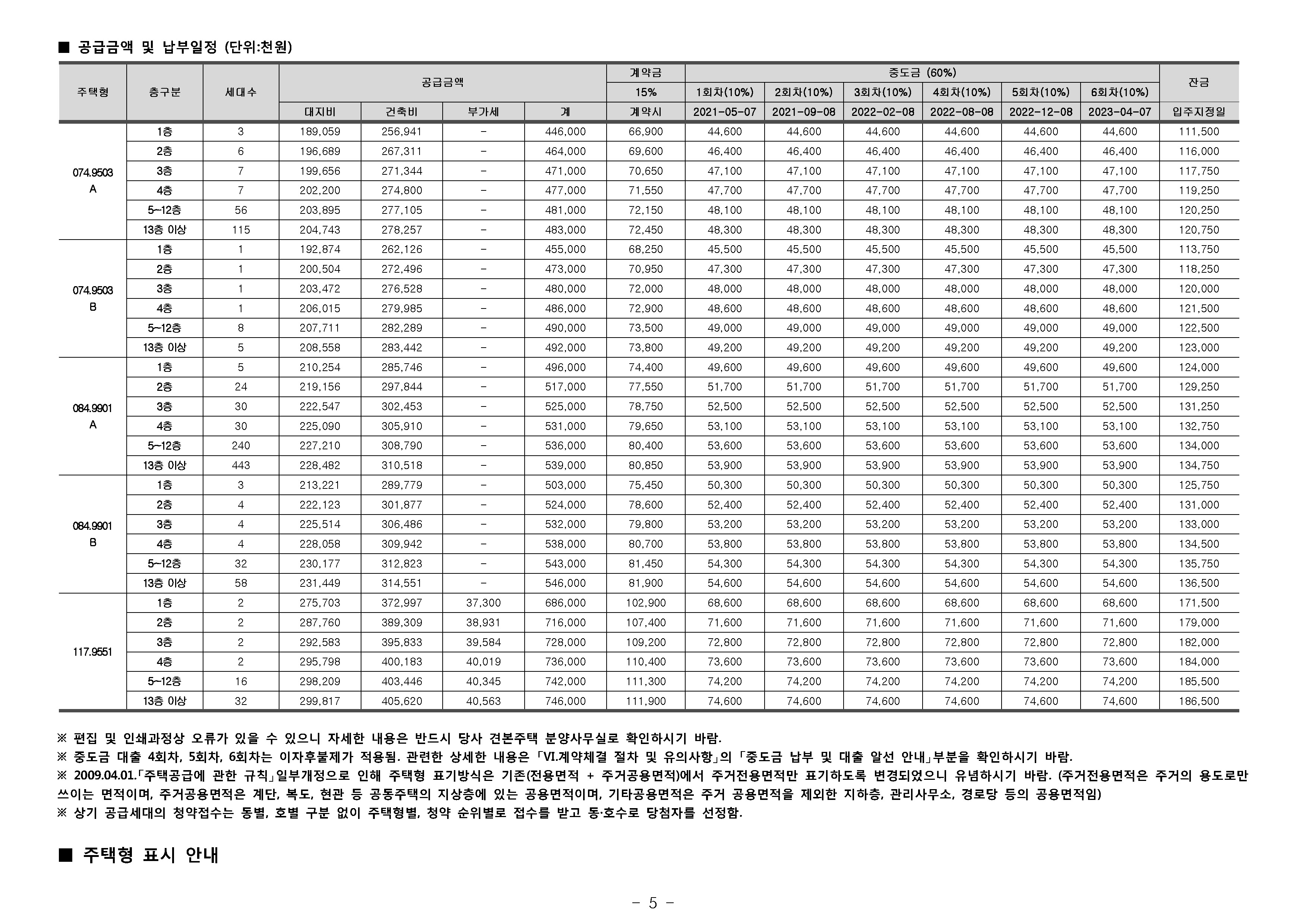
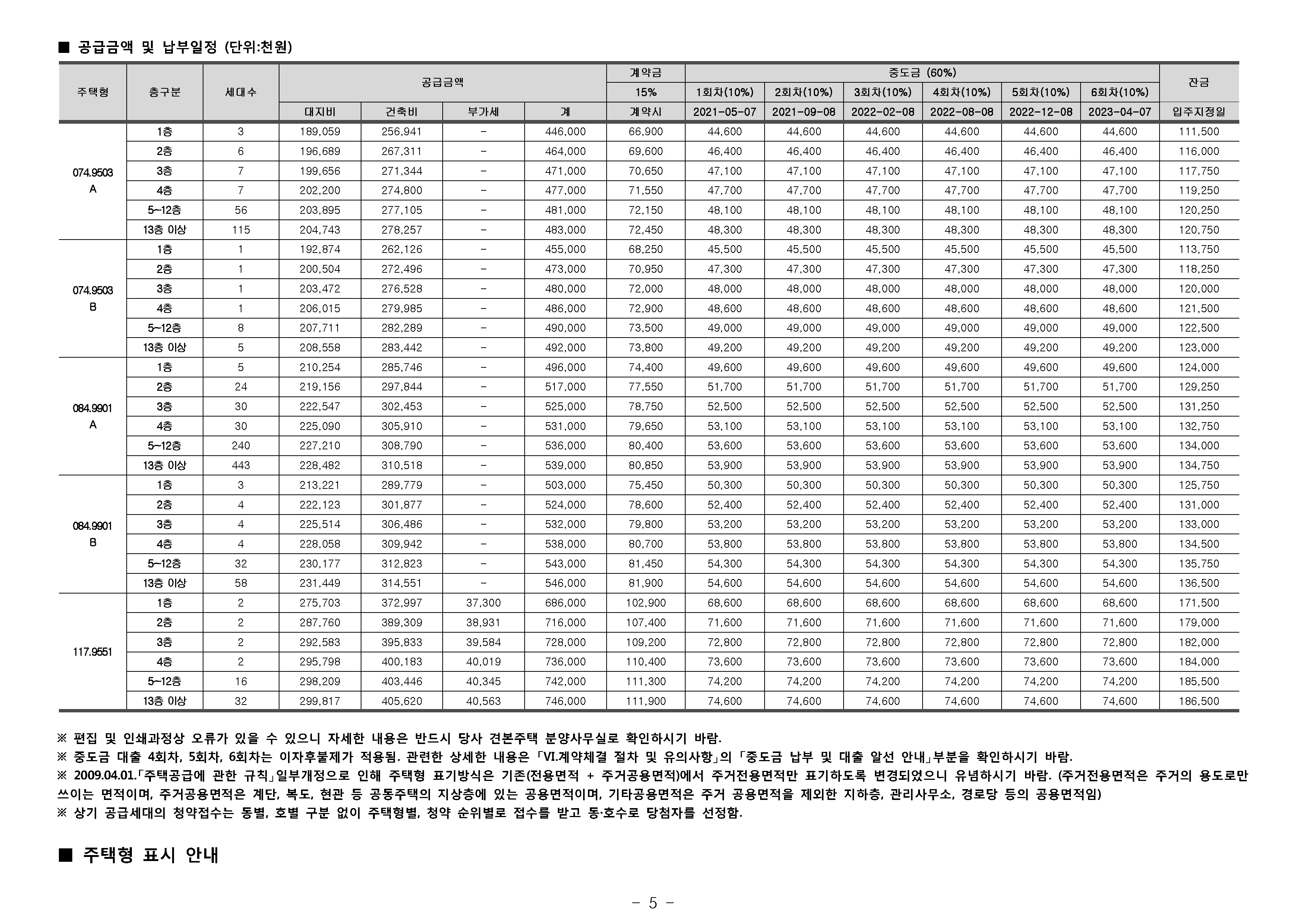
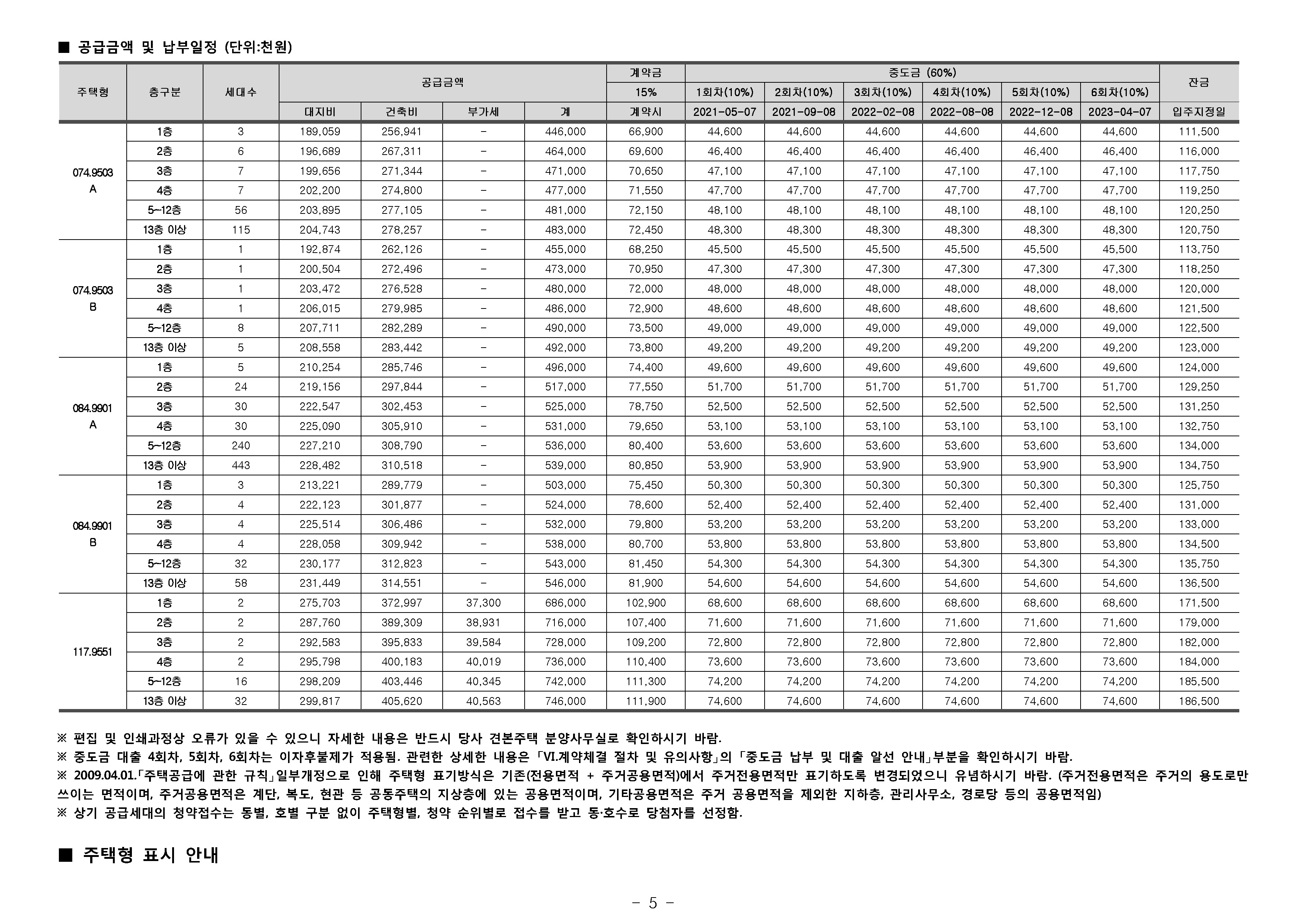
경산에 청약통장 가진 분들 다 한다는 중산 자이 오늘 공고 떴네요.
1,2 단지 모두 계약금이 15% 입니다.
1단지 2단지 입주공고 파일 첨부합니다.
한글파일이라서 PDF로 변환해서 올려놓을게요.
경상북도 및 경산시 거주고객기준 청약 예치금 안내
* 85㎡이하 _ 200만원 * 102㎡이하 _ 300만원 * 135㎡이하 _ 400만원 * 모든면적 - 500만원
금일(11/27)까지 예치하시면 청약가능하십니다.













































| 장건강과 유산균, 프로바이오틱스 (0) | 2020.12.11 |
|---|---|
| 부동산 전자계약 직접 해봤습니다 (feat.매수자) (1) | 2020.11.30 |
| 겨울철에는 특히 뇌졸중을 조심하자 (1) | 2020.11.26 |
| 스팸은 밥도둑이지만 암은 걱정된다 (0) | 2020.11.22 |
| 참기름의 효능과 사용방법 (0) | 2020.11.21 |