일상정보통
경산 중산자이 입주공고 떴네요(공고문 첨부)
플러씨
2020. 11. 27. 11:13

경산에 청약통장 가진 분들 다 한다는 중산 자이 오늘 공고 떴네요.
1,2 단지 모두 계약금이 15% 입니다.
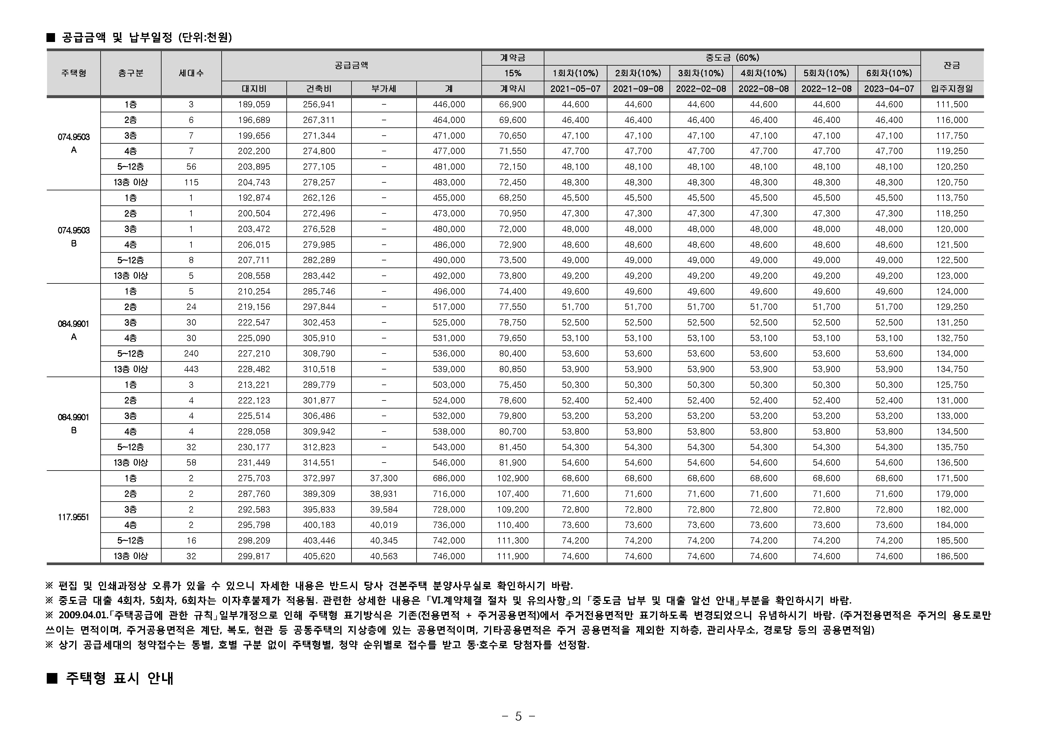
1단지 2단지 입주공고 파일 첨부합니다.
한글파일이라서 PDF로 변환해서 올려놓을게요.
경상북도 및 경산시 거주고객기준 청약 예치금 안내
* 85㎡이하 _ 200만원 * 102㎡이하 _ 300만원 * 135㎡이하 _ 400만원 * 모든면적 - 500만원
금일(11/27)까지 예치하시면 청약가능하십니다.
중산자이 1단지 입주자모집공고.pdf
2.74MB
중산자이 2단지 입주자모집공고.pdf
0.69MB












































